HS
← Blog
data structurestreesjavainterview prep

Master Trees: The Complete Guide to Coding Interviews

Oct 27, 2024Β·11 min read

All the images in this article are made by me :) All the images in this article are made by me :)

From basic traversals to complex dynamic programming solutions trees can be found everywhere, yes even in your interviews 😊. Here is a guide to know all about what tress are, types of trees and the common questions.

What is a Tree?

Its it a hierarchical, non-linear data structure that consists of nodes connected by edges and it doesn't contain any cycles! Otherwise, it would become a proper graph. (Tree is still a graph just with no cycles!). They resemble the natural trees we look at. Even though I think many programmers don't look at trees that often…

Common Tree Terminologies:

Node: Building block of a tree. Each node contains data and references (or pointers) to its child nodes.

Root: The topmost node in the tree. Every tree has exactly one root and is called a Rooted tree.

Edge: The connection between two nodes.

Child: A node that is a descendant of another node or parent.

Parent: A node that has children.

Leaf: A node that has no children.

Subtree: A tree formed within a tree but with a different root.

Depth: The number of edges from root to the node.

Height: The number of edges from the node to the deepest leaf.

Types of Trees:

Binary Tree: (Our most commonly used tree along with BSTs) Each node has at most 2 children, left and right.

Binary Tree

Binary Search Tree (BST): A binary tree but with the additional property that the left subtree of a node contains only nodes with values less than the node's value and the right subtree contains nodes with values greater that the node's value.

Binary Search Tree

Balanced Trees: These are a type of trees that ensure that the tree height (optimally ≀ 1) is kept low to maintain efficient operations like search, insertion and deletions. AVL trees maintain a STRICT balance, while Red Black are a little relaxed.

Balanced Trees

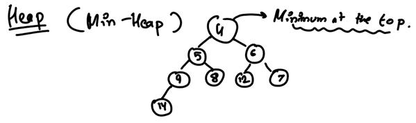
Heap: A special binary tree used to implement Priority Queues, heaps are Min-heap or Max-heap, where the root node is minimum or maximum.

Heap

Trie (Prefix Tree): A tree used to store strings where each node represents a character of the string. It's useful for fast lookups, autocomplete feature (yes really) and dictionary type problems.

Trie

Segment Tree: Used to store intervals or segments. (Used in range problems)

Example taken from -> Segment Tree β€” Algorithms for Competitive Programming Example taken from -> Segment Tree β€” Algorithms for Competitive Programming

N-ary Tree: Trees with n children. Like Trie can be a 26-ary Tree.

Tree Traversal Algorithms:

Pre-order Traversal (Root -> Left -> Right):

Pre-order Traversal

In-order Traversal (Left -> Root -> Right):

In-order Traversal

Post-order Traversal (Left -> Right -> Root):

Post-order Traversal

Level-order Traversal (Breadth-First-Search):

Level-order Traversal

In this Article, I will discuss everything to know about Binary Search Trees… For the rest of the tree versions, I will make more Articles 😊!

Binary Tree

A binary tree is a hierarchical data structure in which each node has at most two children. These children are referred to as the left child and the right child.

Key Properties

  • Maximum Number of Nodes at Level 'L': A binary tree at level 'L' can have a maximum of 2^L nodes.
  • Maximum Number of Nodes in a Binary Tree with Height 'h': The maximum number of nodes in a binary tree is 2^(h+1) βˆ’ 1, where h is the height of the tree.
  • Minimum Height of a Binary Tree with 'n' Nodes: The minimum height of a binary tree with 'n' nodes is log_2(n+1)βˆ’1.
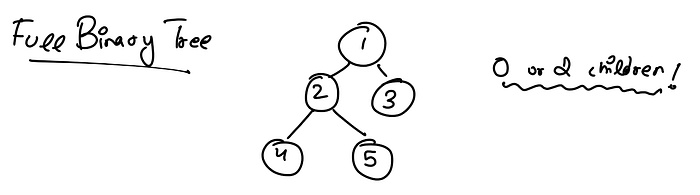
  • Full Binary Tree: Every node has either 0 or 2 children.

Full Binary Tree

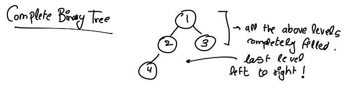
  • Complete Binary Tree: All levels are fully filled except for possibly the last level, which is filled from left to right.

Complete Binary Tree

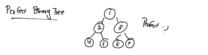
  • Perfect Binary Tree: All internal nodes have two children, and all leaves are at the same level.

Perfect Binary Tree

  • Balanced Binary Tree: The difference between the heights of the left and right subtrees of any node is not more than 1. A balanced tree ensures O(log n) time complexity for a few operations. Without balancing, a binary tree can degrade to a linked list, leading to O(n) operations.
  • Degenerate Tree (Skewed Tree): A tree where each parent has only one child, resembling a linked list.

Applications of Binary Trees

  • BSTs
  • Heaps (Binary heaps)
  • Expression Trees
  • Huffman Trees
  • Tries
  • Decision Trees

and more..

Construction of a Binary Tree

class TreeNode
{
    int data;
    TreeNode left;
    TreeNode right;
    TreeNode(int data)
    {
        this.data = data;
        this.left = null;
        this.right = null;
    }
}
 
public class BinaryTree
{
    public static void main(String[] args) {
        TreeNode root = new TreeNode(1);
        root.left = new TreeNode(2);
        root.right = new TreeNode(3);
        root.left.left = new TreeNode(4);
        root.left.right = new TreeNode(5);
        root.right.left = new TreeNode(6);
        root.right.right = new TreeNode(7);
 
        System.out.println("Preorder traversal of binary tree is ");
        preorder(root);
 
        System.out.println("Inorder traversal of binary tree is ");
        inorder(root);
 
        System.out.println("Postorder traversal of binary tree is ");
        postorder(root);
    }
 
    public static void inorder(TreeNode root)
    {
        if(root == null) return;
        inorder(root.left);
        System.out.println(root.data);
        inorder(root.right);
    }
 
    public static void preorder(TreeNode root)
    {
        if(root == null) return;
        System.out.println(root.data);
        preorder(root.left);
        preorder(root.right);
    }
 
    public static void postorder(TreeNode root)
    {
        if(root == null) return;
        postorder(root.left);
        postorder(root.right);
        System.out.println(root.data);
    }
}

Common Interview Questions

Invert Binary Tree β€” LeetCode

TreeNode invertTree(TreeNode node) {
    if (node == null) return null;
    TreeNode temp = node.left;
    node.left = node.right;
    node.right = temp;
    invertTree(node.left);
    invertTree(node.right);
    return node;
}

Balanced Binary Tree β€” LeetCode

boolean isBalanced(TreeNode node) {
    return height(node) != -1;
}
 
int height(TreeNode node) {
    if (node == null) return 0;
    int left = height(node.left);
    int right = height(node.right);
    if (left == -1 || right == -1 || Math.abs(left - right) > 1) return -1;
    return Math.max(left, right) + 1;
}

Diameter of Binary Tree β€” LeetCode

int diameter(TreeNode root) {
    int[] maxDiameter = new int[1];
    height(root, maxDiameter);
    return maxDiameter[0];
}
 
int height(TreeNode node, int[] maxDiameter) {
    if (node == null) return 0;
    int left = height(node.left, maxDiameter);
    int right = height(node.right, maxDiameter);
    maxDiameter[0] = Math.max(maxDiameter[0], left + right);
    return Math.max(left, right) + 1;
}

Maximum Depth of Binary Tree β€” LeetCode

int maxDepth(TreeNode node) {
    if (node == null) return 0;
    return Math.max(maxDepth(node.left), maxDepth(node.right)) + 1;
}

Same Tree β€” LeetCode

boolean isSameTree(TreeNode p, TreeNode q) {
    if (p == null && q == null) return true;
    if (p == null || q == null || p.val != q.val) return false;
    return isSameTree(p.left, q.left) && isSameTree(p.right, q.right);
}

Symmetric Tree β€” LeetCode

boolean isSameTree(TreeNode p, TreeNode q) {
    if (p == null && q == null) return true;
    if (p == null || q == null || p.val != q.val) return false;
    return isSameTree(p.left, q.left) && isSameTree(p.right, q.right);
}

Subtree of Another Tree β€” LeetCode

boolean isSubtree(TreeNode s, TreeNode t) {
    if (s == null) return false;
    if (isSameTree(s, t)) return true;
    return isSubtree(s.left, t) || isSubtree(s.right, t);
}

Binary Tree Level Order Traversal β€” LeetCode

List<List<Integer>> levelOrder(TreeNode root) {
    List<List<Integer>> result = new ArrayList<>();
    if (root == null) return result;
    Queue<TreeNode> queue = new LinkedList<>();
    queue.add(root);
 
    while (!queue.isEmpty()) {
        int size = queue.size();
        List<Integer> level = new ArrayList<>();
        for (int i = 0; i < size; i++) {
            TreeNode node = queue.poll();
            level.add(node.val);
            if (node.left != null) queue.add(node.left);
            if (node.right != null) queue.add(node.right);
        }
        result.add(level);
    }
 
    return result;
}

Lowest Common Ancestor of a Binary Tree β€” LeetCode

TreeNode lowestCommonAncestor(TreeNode root, TreeNode p, TreeNode q) {
    if (root == null || root == p || root == q) return root;
    TreeNode left = lowestCommonAncestor(root.left, p, q);
    TreeNode right = lowestCommonAncestor(root.right, p, q);
    if (left != null && right != null) return root;
    return left != null ? left : right;
}

Binary Tree Right Side View β€” LeetCode

List<Integer> rightSideView(TreeNode root) {
    List<Integer> result = new ArrayList<>();
    if (root == null) return result;
    Queue<TreeNode> queue = new LinkedList<>();
    queue.add(root);
 
    while (!queue.isEmpty()) {
        int size = queue.size();
        for (int i = 0; i < size; i++) {
            TreeNode node = queue.poll();
            if (i == size - 1) result.add(node.val);
            if (node.left != null) queue.add(node.left);
            if (node.right != null) queue.add(node.right);
        }
    }
 
    return result;
}

Construct Binary Tree from Preorder and Inorder Traversal β€” LeetCode

TreeNode buildTree(int[] preorder, int[] inorder) {
    return build(preorder, inorder, 0, 0, inorder.length - 1);
}
 
TreeNode build(int[] preorder, int[] inorder, int preStart, int inStart, int inEnd) {
    if (preStart >= preorder.length || inStart > inEnd) return null;
    TreeNode root = new TreeNode(preorder[preStart]);
    int inIndex = 0;
    for (int i = inStart; i <= inEnd; i++) {
        if (inorder[i] == root.val) inIndex = i;
    }
    root.left = build(preorder, inorder, preStart + 1, inStart, inIndex - 1);
    root.right = build(preorder, inorder, preStart + inIndex - inStart + 1, inIndex + 1, inEnd);
    return root;
}

Path Sum II β€” LeetCode

List<List<Integer>> pathSum(TreeNode root, int targetSum) {
    List<List<Integer>> result = new ArrayList<>();
    dfs(root, targetSum, new ArrayList<>(), result);
    return result;
}
 
void dfs(TreeNode node, int target, List<Integer> path, List<List<Integer>> result) {
    if (node == null) return;
    path.add(node.val);
    if (node.left == null && node.right == null && node.val == target) {
        result.add(new ArrayList<>(path));
    } else {
        dfs(node.left, target - node.val, path, result);
        dfs(node.right, target - node.val, path, result);
    }
    path.remove(path.size() - 1);
}

Maximum Width of Binary Tree β€” LeetCode

int widthOfBinaryTree(TreeNode root) {
    if (root == null) return 0;
    Queue<Pair<TreeNode, Integer>> queue = new LinkedList<>();
    queue.add(new Pair<>(root, 0));
    int maxWidth = 0;
 
    while (!queue.isEmpty()) {
        int size = queue.size();
        int min = queue.peek().getValue();
        int first = 0, last = 0;
        for (int i = 0; i < size; i++) {
            Pair<TreeNode, Integer> pair = queue.poll();
            TreeNode node = pair.getKey();
            int index = pair.getValue() - min;
            if (i == 0) first = index;
            if (i == size - 1) last = index;
            if (node.left != null) queue.add(new Pair<>(node.left, 2 * index));
            if (node.right != null) queue.add(new Pair<>(node.right, 2 * index + 1));
        }
        maxWidth = Math.max(maxWidth, last - first + 1);
    }
 
    return maxWidth;
}

Binary Tree Zigzag Level Order Traversal β€” LeetCode

List<List<Integer>> zigzagLevelOrder(TreeNode root) {
    List<List<Integer>> result = new ArrayList<>();
    if (root == null) return result;
    Queue<TreeNode> queue = new LinkedList<>();
    queue.add(root);
    boolean leftToRight = true;
 
    while (!queue.isEmpty()) {
        int size = queue.size();
        LinkedList<Integer> level = new LinkedList<>();
        for (int i = 0; i < size; i++) {
            TreeNode node = queue.poll();
            if (leftToRight) {
                level.addLast(node.val);
            } else {
                level.addFirst(node.val);
            }
            if (node.left != null) queue.add(node.left);
            if (node.right != null) queue.add(node.right);
        }
        result.add(level);
        leftToRight = !leftToRight;
    }
 
    return result;
}

Path Sum III β€” LeetCode

int pathSum(TreeNode root, int targetSum) {
    if (root == null) return 0;
    return countPaths(root, targetSum) + pathSum(root.left, targetSum) + pathSum(root.right, targetSum);
}
 
int countPaths(TreeNode node, int target) {
    if (node == null) return 0;
    int count = (node.val == target ? 1 : 0);
    count += countPaths(node.left, target - node.val);
    count += countPaths(node.right, target - node.val);
    return count;
}

All Nodes Distance K in Binary Tree β€” LeetCode

List<Integer> distanceK(TreeNode root, TreeNode target, int K) {
    Map<TreeNode, TreeNode> parentMap = new HashMap<>();
    findParents(root, null, parentMap);
    return findKDistanceNodes(target, K, parentMap);
}
 
void findParents(TreeNode node, TreeNode parent, Map<TreeNode, TreeNode> parentMap) {
    if (node != null) {
        parentMap.put(node, parent);
        findParents(node.left, node, parentMap);
        findParents(node.right, node, parentMap);
    }
}
 
List<Integer> findKDistanceNodes(TreeNode target, int K, Map<TreeNode, TreeNode> parentMap) {
    List<Integer> result = new ArrayList<>();
    Set<TreeNode> visited = new HashSet<>();
    Queue<TreeNode> queue = new LinkedList<>();
    queue.add(target);
    visited.add(target);
    int currentLevel = 0;
 
    while (!queue.isEmpty()) {
        int size = queue.size();
        if (currentLevel == K) {
            for (TreeNode node : queue) result.add(node.val);
            return result;
        }
        for (int i = 0; i < size; i++) {
            TreeNode node = queue.poll();
            if (node.left != null && visited.add(node.left)) queue.add(node.left);
            if (node.right != null && visited.add(node.right)) queue.add(node.right);
            TreeNode parent = parentMap.get(node);
            if (parent != null && visited.add(parent)) queue.add(parent);
        }
        currentLevel++;
    }
 
    return result;
}

Serialize and Deserialize Binary Tree β€” LeetCode

// Serialize
String serialize(TreeNode root) {
    if (root == null) return "null,";
    return root.val + "," + serialize(root.left) + serialize(root.right);
}
 
// Deserialize
TreeNode deserialize(String data) {
    Queue<String> nodes = new LinkedList<>(Arrays.asList(data.split(",")));
    return buildTree(nodes);
}
 
TreeNode buildTree(Queue<String> nodes) {
    String val = nodes.poll();
    if (val.equals("null")) return null;
    TreeNode node = new TreeNode(Integer.parseInt(val));
    node.left = buildTree(nodes);
    node.right = buildTree(nodes);
    return node;
}

Binary Tree Maximum Path Sum β€” LeetCode

int maxPathSum(TreeNode root) {
    int[] maxSum = new int[1];
    maxSum[0] = Integer.MIN_VALUE;
    findMax(root, maxSum);
    return maxSum[0];
}
 
int findMax(TreeNode node, int[] maxSum) {
    if (node == null) return 0;
    int left = Math.max(0, findMax(node.left, maxSum));
    int right = Math.max(0, findMax(node.right, maxSum));
    maxSum[0] = Math.max(maxSum[0], node.val + left + right);
    return node.val + Math.max(left, right);
}

All these questions can be found in Grind75 as well :)!

More articles to know deeper about Trees coming soon! Till then, Happy Diwali!

Love you all,

Harshpreet Singh